Перейти к:
Медико-экологические индикаторы эффективности реализации проекта «Чистый воздух»
https://doi.org/10.47470/0016-9900-2025-104-12-1642-1648
EDN: tyebax
Аннотация
Введение. В связи с актуальностью проблемы загрязнения атмосферного воздуха необходимо рассмотреть индикаторы эффективности реализации проектов, направленных на улучшение качества среды обитания.
Цель – дать оценку эффективности реализации проекта «Чистый воздух» по медико-экологическим индикаторам на примере г. Братска.
Материалы и методы. Проанализированы данные постов наблюдения гидрометцентра за 2015–2024 гг. в городе с развитым промышленно-энергетическим комплексом. Характеристика риска для здоровья населения представлена по коэффициентам и индексам опасности (HQ, HI), относительному риску болезней органов дыхания, его 95%-му доверительному интервалу RR (CI) и этиологической доле (EF). Показатели рассчитаны с учётом двух периодов: данные за 2022–2024 гг. рассматривались как результат реализации комплекса мероприятий.
Результаты. В 2022–2024 гг. в городе отмечено снижение содержания 3,4-бенз(а)пирена в 1,8 раза, сероуглерода – в 3,2 раза, диоксида азота – в 2,7, взвешенных веществ – в 1,9, фтористого водорода в 1,7 раза. Это привело к снижению частоты болезней органов дыхания у детей: RR составил 1,28 CI (1,19–1,37), этиологическая доля внешних факторов оценивается в 21,8%, по ОРЗ – 1,28 CI (1,22–1,34), EF = 21,7. По частоте бронхиальной астмы и астматического статуса можно выделить две группы риска: 0–4 года (RR = 1,84; EF = 45,6) и 10–14 лет (RR = 1,95; EF = 48,1).
Ограничения исследования. Неопределённости результатов связаны с особенностями использования отчётных форм медицинской документации, недостаточностью эпидемиологических знаний о зависимости заболеваемости от загрязнения атмосферного воздуха.
Заключение. Для оценки эффективности программы целесообразно провести анализ динамики содержания аэрополлютантов с учётом вклада климатического фактора и сезонной зависимости эмиссии предприятий теплоэнергетики и концентраций приоритетных веществ.
Соблюдение этических стандартов. Исследование не требует представления заключения комитета по биомедицинской этике или иных документов.
Участие авторов:
Рукавишников В.С., Лахман О.Л. – концепция и дизайн исследования, редактирование;
Ефимова Н.В. – дизайн исследования, сбор материала, написание текста, редактирование;
Мыльникова И.В. – статистическая обработка данных, написание текста;
Бобкова Е.В. – сбор материала и статистическая обработка данных, написание текста.
Все соавторы – утверждение окончательного варианта статьи, ответственность за целостность всех её частей.
Конфликт интересов. Авторы декларируют отсутствие явных и потенциальных конфликтов интересов в связи с публикацией данной статьи.
Финансирование. Работа не имела спонсорской поддержки.
Поступила: 29.10.2025 / Принята к печати: 02.12.2025 / Опубликована: 15.01.2026
Ключевые слова
Для цитирования:
Рукавишников В.С., Ефимова Н.В., Мыльникова И.В., Лахман О.Л., Бобкова Е.В. Медико-экологические индикаторы эффективности реализации проекта «Чистый воздух». Гигиена и санитария. 2025;104(12):1642-1648. https://doi.org/10.47470/0016-9900-2025-104-12-1642-1648. EDN: tyebax
For citation:
Rukavishnikov V.S., Efimova N.V., Mylnikova I.V., Lakhman O.L., Bobkova E.V. Medical and environmental indicators of the efficiency of the implementation of the “Clean air” project. Hygiene and Sanitation. 2025;104(12):1642-1648. (In Russ.) https://doi.org/10.47470/0016-9900-2025-104-12-1642-1648. EDN: tyebax
Введение
По оценкам ВОЗ, второй по значимости причиной потерь популяционного здоровья по-прежнему является загрязнение атмосферного воздуха. Расчётное число сверхсмертности во всём мире от загрязнения атмосферного воздуха в 2021 г. составило 8,1 млн человек [1]. По результатам систематического анализа глобального бремени болезней 2021 г. установлено, что за период 2000–2021 гг. показатели DALY для всех возрастов, ассоциированные с экологическими и профессиональными рисками, снизились на 22% (15,5–28,8), однако по отдельным регионам и приоритетным поллютантам темпы снижения сильно различаются [2].
В национальном проекте «Экология» федеральный проект «Чистый воздух», в который вошли на первом этапе 12 городов, является одним из важнейших¹. На этом этапе цель проекта была обозначена как снижение выбросов на 20%, в настоящее время – двукратное снижение выбросов в атмосферу опасных загрязняющих веществ к 2036 г. Ожидается, что такие меры приведут к улучшению качества жизни 4,6 млн человек в крупных городах. К сожалению, в паспорте проекта не заложены индикаторы, которые можно рассматривать как показатели улучшения качества жизни и его количественные критерии. Вместе с тем для обеспечения качества жизни важно добиться соответствия содержания химических примесей в приземном слое атмосферного воздуха селитебных территорий гигиеническим требованиям [3–5]. Необходимость рассмотрения и апробация на примере различных городов, вошедших в первый этап федерального проекта, в качестве индикаторов дополнительных критериев отмечены в ряде работ [4, 6–8]. Основные критерии качества жизни – сохранение и улучшение популяционного здоровья, поэтому индикаторами могут служить как интегральные медико-демографические показатели, так и специфичные для ингаляционного воздействия изменения частоты морфофункциональных нарушений органов, тропных к поллютантам.
В проект «Чистый воздух» уже на первом этапе вошёл Братск – ведущий промышленный центр Восточной Сибири, одна из территорий, требующих срочного улучшения качества атмосферного воздуха [9]. На территории города размещено несколько крупных предприятий по производству алюминия, продуктов лесопереработки и лесохимии, машиностроения, теплоэнергетики, что обусловлено существующей сырьевой базой и дешёвой электроэнергией ГЭС. Ранее с учётом сроков активного внедрения природоохранных мероприятий на основных предприятиях Братска (1995–1999, 2005–2010 гг.) нами была изучена динамика содержания поллютантов в приземном слое атмосферного воздуха за 1984–2022 гг. в сравнении с актуальными в настоящее время гигиеническими нормативами² [10]. Установлено, что при низком уровне природоохранной деятельности (1984–1988 гг.) на постах наблюдения гидрометслужбы регистрировалось постоянное превышение среднегодовых ПДК бенз(а)пирена, сероуглерода, оксидов азота, фтористого водорода. Наблюдалось превышение норматива содержания сероводорода до 8 раз (16% разовых проб), фтороводорода – до 52 раз (58% проб), сероуглерода – до 20,5 раза (4–29% проб), диоксида азота – в 3,6 раза (3–20% проб), бенз(а)пирена – в 88 раз. В период реализации программы «Экология г. Братска» по сравнению с предшествующим десятилетием снизилось содержание в воздушном бассейне города сероуглерода (в 1,8–2,2 раза), 3,4-бенз(а)пирена (в 1,9–2,5 раза), диоксида азота (в 2,5 раза). Вместе с тем после завершения активной реализации программы зафиксировано увеличение среднегодовых концентраций некоторых веществ. Анализ впервые выявленной заболеваемости в период реализации природоохранных программ свидетельствовал об инерционности динамики популяционного здоровья и различии вкладов отдельных факторов в его формирование [9].
Полученный опыт представляется важным для анализа эффективности реализации федерального проекта «Чистый воздух». Как известно, эффективность – свойство системы достигать поставленной цели, оценивать которую принято по индикаторам, наиболее интересным с позиций менеджмента, в зависимости от того, какие характеристики объекта управления являются приоритетными. В связи с указанным необходимо рассмотреть индикаторы эффективности с применением риск-ориентированных подходов.
Цель исследования – дать оценку эффективности реализации проекта «Чистый воздух» по медико-экологическим индикаторам на примере г. Братска.
Материалы и методы
В работе проанализированы данные постов наблюдения гидрометцентра за 2015–2024 гг. по 22 загрязняющим веществам. Среднее содержание приоритетных вредных веществ оценивали по двум периодам, ориентируясь на сроки активного внедрения природоохранных мероприятий: 2015–2019 гг. – до внедрения проекта и 2020–2024 гг. – период реализации мероприятий федеральной программы «Чистый воздух». Для интегральной оценки загрязнения атмосферного воздуха использован показатель загрязнения атмосферного воздуха Р, базирующийся на теории неполной суммации вредных эффектов при одновременном содержании нескольких химических примесей в воздушном бассейне [11]. Кратность ПДК рассчитана относительно нормативов, представленных в действующих СанПиН1.2.3685–21. Оценка риска для здоровья населения проведена по общепринятой методологии с расчётом коэффициентов и индексов опасности (HQ, HI)³. Относительный риск и его 95%-й доверительный интервал RR (CI), а также этиологическая доля (EF) болезней органов дыхания рассчитаны с учётом двух периодов, при этом показатели за 2022–2024 гг. рассматривались как результат реализации комплекса мероприятий. Для нозологических форм с хроническим течением расчёт относительного риска проведён по показателям общей заболеваемости.
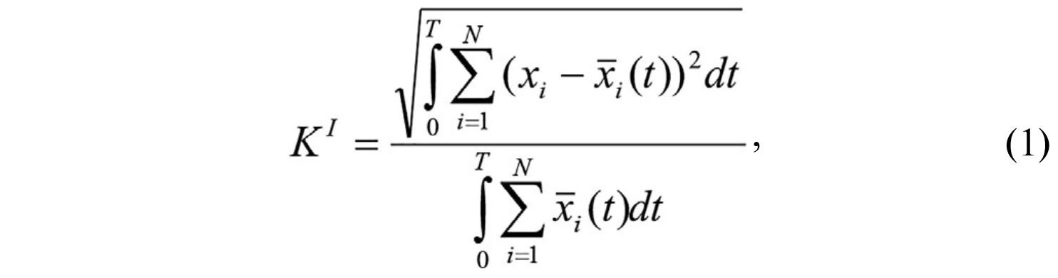
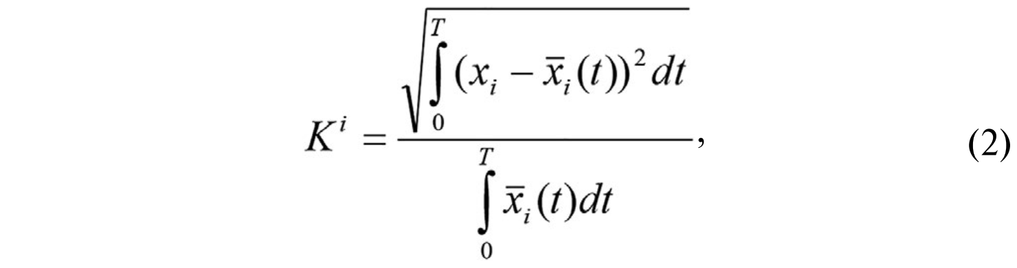
Оценка снижения «дополнительных случаев» заболеваемости проведена с учётом уровня заболеваемости в период до активной реализации природоохранных мероприятий проекта «Чистый воздух» и снижения содержания поллютантов в атмосферном воздухе на основе расчётных моделей, полученных в эпидемиологических исследованиях [12]. Изучена система расчётных моделей, в которых исследуется N показателей, включающих как отдельные нозологические формы, обозначенные как i (острые инфекции верхних дыхательных путей, астма, астматический статус), и для интегральной оценки в целом – болезни по классу J00–J99. Отдельные элементы модели сформированы из воздействующих веществ, тропных к тканям респираторной системы, и нозологических форм. Для характеристики точности модели расчётных данных использованы такие показатели, как KI (интегральная ошибка по всем веществам и нозологическим формам, рассматриваемым в системе) и Ki (ошибка по отдельным элементам), рассчитываемые по формулам (1) и (2):


где xi – количество заболевших в изучаемый период (в нашем случае 2024 г.), рассчитанное по модели; xi(t) – фактическое количество заболевших за 2024 г. (данные формы федерального статистического наблюдения № 12 «Сведения о числе заболеваний, зарегистрированных у пациентов, проживающих в районе обслуживания медицинской организации»).
Результаты
Динамика интегрального показателя загрязнённости приземного слоя атмосферного воздуха Р в течение десяти лет подчинялась нелинейной зависимости (3):
У = 47,5 − 3,54х − 0,62х² + 0,07х³, (3)
где У – интегральный показатель загрязнения атмосферного воздуха Р; х – порядковый номер года (начиная с 2015 г., принятого за единицу).
уравнение характеризовалось высоким коэффициентом аппроксимации (R² = 0,792; р < 0,05). Величины Р колебались от 12,97 в 2020 г. до 42,6 в 2017 г. На основе анализа вклада отдельных ингредиентов в интегральный показатель по приведённым к 3-му классу опасности веществам сформирован ранговый ряд. Долевой вклад 3,4 бенз(а)пирена составил 98%, кроме того, основными загрязнителями можно считать: сероуглерод > взвешенные вещества > формальдегид > фтористый водород > диоксид азота. Прочие из 22 контролируемых веществ вносят незначительный вклад в структуру Р (менее 0,1%). Отметим, что порядок рангов в изучаемый период не изменился.
В период активной реализации федерального проекта «Чистый воздух» (2020–2024 гг.) зарегистрировано значительное снижение содержания поллютантов, специфичных для градообразующих предприятий в приземном слое атмосферного воздуха (табл. 1). Так, CI средней концентрации 3,4-бенз(а)пирена составила 3,74–7,66 мкг/м³, что в 1,8 раза ниже, чем в 2015–2019 гг. Содержание сероуглерода сократилось в 3,2 раза, диоксида азота – в 2,7 раза, взвешенных веществ – в 1,9 раза, фтористого водорода – в 1,7 раза.

Индексы неканцерогенной опасности на протяжении всего времени наблюдения превышали допустимый уровень (> 1) для основных органов и систем, что определяло риск патологии органов дыхания, системных нарушений и смертности. В структуре заболеваемости населения патология респираторной системы занимает первое место и составляет от 30% у взрослого населения до 70% у детей, поэтому снижение риска по данному классу болезней может привести к наибольшей экономической эффективности.
Среднегодовые показатели впервые выявленной заболеваемости по классу болезней органов дыхания и отдельным нозологическим формам представлены в табл. 2.

Средний показатель за 2015–2019 гг. статистически значимо выше, чем за 2020–2024 гг., в целом по классу болезней органов дыхания (в 1,27 раза) и по ОРЗ верхних дыхательных путей (в 1,27 раза), хроническим болезням миндалин и аденоидов (в 1,53 раза), астме (в 1,51 раза), хроническому бронхиту (в 2,09 раза). Частота впервые выявленной заболеваемости по классу болезней органов дыхания детского населения (0–14 лет) снизилась в 2024 г. до 1339,8 случая на 1000 человек, максимальный уровень наблюдался в 2019 г. – 1766,4‰.
Для доказательства различий уровней заболеваемости в изучаемые периоды представим результаты расчётов относительного риска для случаев, когда RR ≥ 1. Так, в целом по классу БОД (впервые выявленная заболеваемость) RR составил 1,28 CI (1,19–1,37), этиологическая доля внешних факторов оценивается в 21,8%, по ОРЗ – 1,28 CI (1,2–21,34), EF = 21,7. Наибольшие уровни риска ОРЗ отмечены в возрасте 0–4 года (RR = 2,03; EF = 50,7), для хронических болезней миндалин, аденоидов – в 10–14 лет (RR = 1,2; EF = 16,7). По частоте бронхиальной астмы и астматического статуса можно выделить две группы риска: 0–4 года (RR = 1,84; EF = 45,6) и 10–14 лет (RR = 1,95; EF = 48,1). Поскольку показатель RR для хронического бронхита и ОРЗ верхних дыхательных путей в старших группах не имел статистической значимости, для них этиологическую долю не вычисляли (табл. 3).

В период реализации проекта «Чистый воздух» в атмосферном воздухе зафиксировано снижение содержания некоторых веществ, ранее превышавшее гигиенические нормативы. С зарегистрированным снижением в 2024 г. концентрации диоксида азота (до 0,4 ПДКс.г.) ассоциируются сокращение у детей случаев ОРЗ (на 160,3‰), пневмонии (на 2,5‰), бронхиальной астмы (на 2,1‰). Снижение концентрации взвешенных веществ до 0,7 ПДКс.г. может привести к минимизации заболеваемости болезнями органов дыхания (на 34‰ ОРЗ и 5,4‰ бронхиальной астмы). Совместный эффект позволяет ожидать первичную заболеваемость детей 0–14 лет по классу болезней органов дыхания на уровне 1296‰.
Обсуждение
Анализ эффективности реализации проектов должен базироваться на объективном аналитическом обеспечении, состоящем из нескольких взаимосвязанных элементов. Во-первых, необходима достоверная репрезентативная информация о фоновом периоде (предшествовавшем реализации проекта не менее чем за пять лет) и периоде, принятом как точка контроля эффективности. При этом важно учитывать инерционность процессов формирования популяционного здоровья [13, 14] и возможность роста эмиссии поллютантов в период остановки и пуско-наладочных работ, возникающих при смене технологии, строительстве новых автодорог и др. [15–18]. Во-вторых, важен выбор индикаторов реализации проекта и его количественных показателей для критериальной оценки. При выборе индикаторов антропоцентричных проектов, где предполагается цель, – улучшение качества жизни населения, при выборе индикаторов целесообразно опираться на хорошо известные критерии А.Б. Хилла [19], адаптируя их к современным диагностическим, технологическим возможностям. В-третьих, требуется методика анализа информации. По-нашему мнению, она должна базироваться на интеграции системного и риск-ориентированного подходов, хорошо зарекомендовавших себя в ряде исследований [3, 15, 20–22] и принципах доказательной медицины.
Отметим, что значительную роль имеет время получения тех или иных информационных данных, так как от этого зависит степень их полезности в процессе анализа эффективности. Следовательно, необходимо, чтобы сбор, обработка и формирование данных осуществлялись непрерывно. В то же время внедрение автоматического контроля, например, в системе мониторинга содержания поллютантов в атмосферном воздухе, требует гармонизации методик, используемых при автоматизированном анализе, и применяемых при ручном отборе и химическом анализе проб, на которых разрабатывались отечественные гигиенические нормативы. Для проведения расчётов коэффициентов опасности необходима уверенность в соответствии технических возможностей приборной базы контролирующих органов обнаружения некоторых веществ (например, хлор, гидрохлорид и др.) уровню референтных концентраций. Выбор приоритетных веществ, влияющих на состояние здоровья экосенситивных групп населения, должен быть проведён с учётом спектра загрязнителей, поступающих в атмосферный воздух, и возможности их трансформации в существующих метеоусловиях [23, 24].
К числу приоритетных поллютантов для большинства урбанизированных территорий относят твёрдые частицы и оксиды азота [1]. Сравнение по данным 2024 г. результатов прогнозируемых уровней первичной заболеваемости детского населения по классу БОД в условиях снижения загрязнённости атмосферного воздуха и фактических показателей, регистрируемых в городе, показало, что точность расчётной величины составляет 97,3% в целом по субпопуляции детей 0–14 лет. Различия расчётного и фактического показателей статистически значимых различий не имели (расчётный показатель составил 1296 случаев и входит в CI заболеваемости 1339,8 (1292,2–1387,4)‰. Интересно отметить, что наименее точный прогноз (71,8%) получен для подгруппы детей 10–14 лет: 656,5 и 923 (876,2–959,8)‰ соответственно. На наш взгляд, это можно объяснить несколькими причинами. Одной из них при главенствующей этиологической роли микробиологических агентов в возникновении и манифестации БОД является значимость социальных контактов детей старшей возрастной группы, что было показано в период COVID-19 [25, 26]. Ряд работ свидетельствует о «накопленном» функциональном эффекте в старшей группе, подвергавшейся негативному влиянию повышенных уровней химических поллютантов, тропных к респираторной и иммунной системам [1, 14, 16, 27]. Кроме того, определённый вклад в формирование уровня БОД вносят такие факторы, как активное и пассивное курение [2, 28, 29], а также влияние поллютантов на ранних этапах онтогенеза, в том числе по причине работы родителей во вредных условиях труда [30, 31].
Неопределённости представленных результатов связаны, во-первых, с особенностями ведения многолетних наблюдений за концентрациями химических веществ: изменением программ, использованием различающихся химико-аналитических методов. Во-вторых, они обусловлены использованием отчётных форм медицинской документации, состав которых также периодически меняется. Для минимизации влияния указанных кофаундеров мы не использовали данные автоматического мониторинга (появившиеся с 2020 г.) для интегральных оценок загрязнённости атмосферного воздуха и модельных расчётов. Кроме того, для характеристики потерь здоровья рассматривали только БОД как основную мишень ингаляционного воздействия и, что особенно важно, только нозологические формы, включённые в класс J00–J99, частота которых позволяет получить репрезентативные величины при исследовании детской субпопуляции среднего по численности населения города (> 200 тыс.). Вместе с тем проведённое исследование может быть полезно, так как базируется на анализе многолетних данных и охватывает периоды до и во время реализации проекта «Чистый воздух», который рассматривается как натурный эксперимент, позволяющий оценить влияние поллютантов на здоровье экосенситивных групп населения и выделить наиболее чувствительные возрастные группы и индикаторные нозологические формы.
Заключение
Жители Братска подвергаются неблагоприятному ингаляционному воздействию, которое определяет высокий риск развития патологии органов дыхания, кроветворения, системных нарушений организма, дополнительных случаев смертности. Снижение загрязнённости атмосферного воздуха привело к снижению заболеваемости детского населения по классу болезней органов дыхания. Индикаторами эффекта можно считать ОРЗ (которые целесообразно регистрировать на возрастной группе 0–4 лет), бронхиальную астму и астматоидные состояния (0–4 и 10–14 лет). Использование таких индикаторов позволяет планировать ожидаемую эффективность по показателям потенциального риска для здоровья населения экосенситивных групп в пределах этиологической доли. Представленный опыт может быть полезен при реализации и оценке эффективности федеральной программы «Чистый воздух» национального проекта «Экология». При оценке эффективности программы целесообразно провести анализ динамики содержания загрязнений в атмосферном воздухе с учётом вклада климатического фактора и сезонной зависимости объёмов выбросов предприятий теплоэнергетики и концентраций приоритетных веществ.
¹https://static.government.ru/media/files/bgdJwTAcotUFNWAEh3nCNb7oUgh7f608.pdf (доступ: 10.10.2025 г.).
²СанПиН 1.2.3685–21. Гигиенические нормативы и требования к обеспечению безопасности и (или) безвредности для человека факторов среды обитания.
³Р 2.1.10.3968–23. 2.1.10. Руководство по оценке риска здоровью населения при воздействии химических веществ, загрязняющих среду обитания.
Список литературы
1. State of Global Air / 2024. A special report on global exposure to air pollution and its health impacts, with a focus on children’s health. Boston: Health Effects Institute; 2024. Available at: https://stateofglobalair.org/sites/default/files/documents/2024-06/soga-2024-report_0.pdf
2. GBD 2021 Risk Factors Collaborators. Global burden and strength of evidence for 88 risk factors in 204 countries and 811 subnational locations, 1990–2021: a systematic analysis for the Global Burden of Disease Study 2021. Lancet. 2024; 403(10440): 2162–203. https://doi.org/10.1016/S0140-6736(24)00933-4
3. Гурвич В.Б., Козловских Д.Н., Власов И.А., Чистякова И.В., Ярушин С.В., Корнилков А.С. и др. Методические подходы к оптимизации программ мониторинга загрязнения атмосферного воздуха в рамках реализации федерального проекта «Чистый воздух» (на примере города Нижнего Тагила). Здоровье населения и среда обитания – ЗНиСО. 2020; (9): 38–47. https://doi.org/10.35627/2219-5238/2020-330-9-38-47 https://elibrary.ru/mgxfam
4. Veremchuk L.V., Vitkina T.I., Barskova L.S., Gvozdenko T.A., Mineeva E.E. Estimation of the size distribution of suspended particulate matters in the urban atmospheric surface layer and its influence on bronchopulmonary pathology. Atmosphere. 2021; 12(8): 1010. https://doi.org/10.3390/atmos12081010
5. Paulin L., Hansel N. Particulate air pollution and impaired lung function. F1000Res. 2016; 5: F1000 Faculty Rev-201. https://doi.org/10.12688/f1000research.7108.1
6. Зайцева Н.В., Май И.В. Основные итоги, перспективы применения и совершенствования оценки риска здоровью населения сибирских городов – участников проекта «Чистый воздух» (Братск, Норильск, Красноярск, Чита). Гигиена и санитария. 2021; 100(5): 519–27. https://doi.org/10.47470/0016-9900-2021-100-5-519-527 https://elibrary.ru/ogjjxt
7. Кузьмин С.В., Авалиани С.Л., Додина Н.С., Шашина Т.А., Кислицин В.А., Синицына О.О. Практика применения оценки риска здоровью в федеральном проекте «Чистый воздух» в городах-участниках (Череповец, Липецк, Омск, Новокузнецк): проблемы и перспективы. Гигиена и санитария. 2021; 100(9): 890–6. https://doi.org/10.47470/0016-9900-2021-100-9-890-896 https://elibrary.ru/sybxwe
8. Май И.В., Клейн С.В., Максимова Е.В. Результативность мероприятий федерального проекта «Чистый воздух» по ключевым показателям – качеству атмосферного воздуха и риску для здоровья населения г. Братска. Гигиена и санитария. 2023; 102(12): 1367–74. https://doi.org/10.47470/0016-9900-2023-102-12-1364-1374 https://elibrary.ru/zkowwh
9. Ефимова Н.В., Маторова Н.И., Юшков Н.Н., Никифорова В.А., Перцева Т.Г. Медико-экологические риски современного города. Братск; 2008. https://elibrary.ru/qioqff
10. Ефимова Н.В., Рукавишников В.С. Оценка загрязнения атмосферного воздуха г. Братска на основе анализа многолетних наблюдений. Гигиена и санитария. 2022; 101(9): 998–1003. https://doi.org/10.47470/0016-9900-2022-101-9-998-1003 https://elibrary.ru/aaoibc
11. Пинигин М.А. Теория и практика оценки комбинированного действия химического загрязнения атмосферного воздуха. Гигиена и санитария. 2001; 80(1): 9–14.
12. Онищенко Г.Г., Новиков С.М., Рахманин Ю.А., Авалиани С.Л., Буштуева К.А. Основы оценки риска для здоровья населения при воздействии химических веществ, загрязняющих окружающую среду. М.; 2002.
13. Суворова Е.И., Концевая А.В., Рыжов А.П., Мырзаматова А.О., Муканеева Д.К., Худяков М.Б. и др. Систематизация эффективных мер популяционной профилактики в условиях неопределённости: онтологический подход. Кардиоваскулярная терапия и профилактика. 2020; 19(5): 2505. https://doi.org/10.15829/1728-8800-2020-2505 https://elibrary.ru/sfmizf
14. Xu J., Su Z., Liu C., Nie Y., Cui L. Climate change, air pollution and chronic respiratory diseases: understanding risk factors and the need for adaptive strategies. Environ. Health Prev. Med. 2025; 30: 7. https://doi.org/10.1265/ehpm.24-00243
15. Валеев Т.К., Сулейманов Р.А., Рахманин Ю.А., Малышева А.Г., Рахматуллина Л.Р. Методические подходы к гигиенической оценке объектов окружающей среды и обоснованию профилактических мероприятий на территориях размещения предприятий нефтехимии и нефтепереработки. Гигиена и санитария. 2019; 98(9): 923–9. https://elibrary.ru/cnazrc
16. Gartland N., Aljofi H.E., Dienes K., Munford L.A., Theakston A.L., van Tongeren M. The effects of traffic air pollution in and around schools on executive function and academic performance in children: a rapid review. Int. J. Environ. Res. Public Health. 2022; 19(2): 749. https://doi.org/10.3390/ijerph19020749
17. Wang F., Wang R., Yan M., Zhao J. Does air pollution affect traffic safety? Evidence from cities in China. Environ. Sci. Pollut. Res. Int. 2023; 30(38): 88998–9011. https://doi.org/10.1007/s11356-023-28560-3
18. Кушелева Е.В., Резчиков А.Ф., Кушников В.А., Иващенко В.А., Богомолов А.С., Кушникова Е.В. и др. Математическое моделирование определения степени загрязнения атмосферы при выбросах химических веществ. Вестник Астраханского государственного технического университета. Серия: Управление, вычислительная техника и информатика. 2018; (2): 17–25. https://doi.org/10.24143/2072-9502-2018-2-17-25 https://elibrary.ru/wcjmlj
19. Koterov A.N., Ushenkova L.N. Causal criteria in medical and biological disciplines: history, essence, and radiation aspects. Report 4, Part 1: The post-hill criteria and ecolgoical criteria. Biol. Bull. Russ. Acad. Sci. 2022; 49(12): 2423–66. https://doi.org/10.1134/S1062359022120068
20. Попова А.Ю., Кузьмин С.В., Механтьев И.И. Оценка эффективности реализации системного подхода к обеспечению гигиенической безопасности питьевого и рекреационного водопользования населения на примере Воронежской области. Здоровье населения и среда обитания – ЗНиСО. 2021; 29(8): 7–14. https://doi.org/10.35627/2219-5238/2021-29-8-7-14 https://elibrary.ru/fdconj
21. Онищенко Г.Г., Зайцева Н.В., Клейн С.В., Глухих М.В. Методы комплексной оценки общественного здоровья в связи с факторами среды обитания на основе использования интегральных показателей. Описательный обзор (сообщение 1). Здравоохранение Российской Федерации. 2024; 68(6): 449–58. https://doi.org/10.47470/0044-197X-2024-68-6-449-458 https://elibrary.ru/okeywi
22. Salamh P., Stoner B., Ruley N., Zhu H., Bateman M., Chester R., et al. An international consensus on the etiology, risk factors, diagnosis and Management for individuals with Frozen Shoulder: a Delphi study. J. Man. Manip. Ther. 2025; 33(4): 309–20. https://doi.org/10.1080/10669817.2025.2470461
23. Haskins J.D., Lopez-Hilfiker F.D., Lee B.H., Shah V., Wolfe G.M., DiGangi J., et al. Anthropogenic control over wintertime oxidation of atmospheric pollutants. Geophys. Res. Lett. 2019; 46(24): 14826–35. https://doi.org/10.1029/2019GL085498
24. Goel V., Tripathi N., Gupta M., Sahu L.K., Singh V., Kumar M. Study of secondary organic aerosol formation and aging using ambient air in an oxidation flow reactor during high pollution events over Delhi. Environ. Res. 2024; 251(Pt. 1): 118542. https://doi.org/10.1016/j.envres.2024.118542
25. Yuan Y.Q., Ding J.N., Bi N., Wang M.J., Zhou S.C., Wang X.L., et al. Physical activity and sedentary behaviour among children and adolescents with intellectual disabilities during the COVID-19 lockdown in China. J. Intellect. Disabil. Res. 2022; 66(12): 913–23. https://doi.org/10.1111/jir.12898
26. Евсеева Г.П., Телепнёва Р.С., Книжникова Е.В., Супрун С.В., Пичугина С.В., Яковлев Е.И. и др. COVID-19 в педиатрической популяции. Бюллетень физиологии и патологии дыхания. 2021; (80): 100–14. https://doi.org/10.36604/1998-5029-2021-80-100-114 https://elibrary.ru/fafnrx
27. Tran H.M., Tsai F.J., Lee Y.L., Chang J.H., Chang L.T., Chang T.Y., et al. The impact of air pollution on respiratory diseases in an era of climate change: A review of the current evidence. Sci. Total. Environ. 2023; 898: 166340. https://doi.org/10.1016/j.scitotenv.2023.166340
28. Макунина О.А., Коваленко А.Н., Быков Е.В., Коломиец О.И. Особенности распространения табакокурения и болезней органов дыхания среди студентов-спортсменов города Челябинска. Гигиена и санитария. 2018; 97(9): 854–7. https://elibrary.ru/ymkayp
29. Wawrzyniak A., Lipińska-Opałka A., Kalicki B., Kloc M. The effect of passive exposure to tobacco smoke on the immune response in children with asthma. Subst. Use Misuse. 2021; 56(3): 424–30. https://doi.org/10.1080/10826084.2020.1869263
30. Ефимова Н.В., Абраматец Е.А., Тихонова И.В. Влияние химического фактора на здоровье детей с учетом ранних этапов онтогенеза. Гигиена и санитария. 2014; 93(6): 83–6. https://elibrary.ru/tfaoal
31. Huuskonen P., Keski-Nisula L., Heinonen S., Voutilainen S., Tuomainen T.P., Pekkanen J., et al. Kuopio birth cohort – design of a Finnish joint research effort for identification of environmental and lifestyle risk factors for the wellbeing of the mother and the newborn child. BMC Pregnancy Childbirth. 2018; 18(1): 381. https://doi.org/10.1186/s12884-018-2013-9
Об авторах
Виктор Степанович РукавишниковРоссия
Член-корр. РАН, доктор мед. наук, профессор, научный руководитель ФГБНУ ВСИМЭИ, 665827, Ангарск, Россия
e-mail: rvs_2010@mail.ru
Наталья Васильевна Ефимова
Россия
Доктор мед. наук, профессор, вед. науч. сотр. лаб. эколого-гигиенических исследований ФГБНУ ВСИМЭИ, 665827, Ангарск, Россия
e-mail: med_eco_lab@list.ru
Инна Владимировна Мыльникова
Россия
Доктор мед. наук, доцент, ст. науч. сотр., ФГБНУ ВСИМЭИ, 665827, Ангарск, Россия
e-mail: inna.mylnikova.phd.ms@gmail.com
Олег Леонидович Лахман
Россия
Доктор мед. наук, профессор, профессор РАН, директор ФГБНУ ВСИМЭИ, 665827, Ангарск, Россия
e-mail: lakhman_o_l @mail.ru
Елена Викторовна Бобкова
Россия
Канд. мед. наук, зам. директора по медицинской статистике, ОГКУЗ «Медицинский информационно-аналитический центр Иркутской области», 664003, Иркутск, Россия
e-mail: evb@miac-io.ru
Рецензия
Для цитирования:
Рукавишников В.С., Ефимова Н.В., Мыльникова И.В., Лахман О.Л., Бобкова Е.В. Медико-экологические индикаторы эффективности реализации проекта «Чистый воздух». Гигиена и санитария. 2025;104(12):1642-1648. https://doi.org/10.47470/0016-9900-2025-104-12-1642-1648. EDN: tyebax
For citation:
Rukavishnikov V.S., Efimova N.V., Mylnikova I.V., Lakhman O.L., Bobkova E.V. Medical and environmental indicators of the efficiency of the implementation of the “Clean air” project. Hygiene and Sanitation. 2025;104(12):1642-1648. (In Russ.) https://doi.org/10.47470/0016-9900-2025-104-12-1642-1648. EDN: tyebax
JATS XML

































